Тарба

Новый результатY37

Фамилия: Тарба (Ҭарба)
Национальность: Абхаз (Бзыпец)
Населенный пункт: Лыхны
Гаплогруппа: G2a2 >> L1264 >> Y32924

История

Род Тарба один из самых многочисленных в Абхазии, распространен в большинстве сел Абжуйской и Бзыпской Абхазии, а также среди абхазской диаспоры Турции. Протестированный относится к патронимии (абиԥара) Бақьас-иԥа. Ветвь протестированного вышла из Мгудзырхуа и осела в селе Хуап, откуда затем спустилась в Лыхны, поселок (аҳабла) Мазихуа (Мазихәа).

Родословная: Бақьас > Наҩеи > Блаҭ > Еслам > Шьрыф > Махаз > Оҭарбеи > Данаҟаи.

Тамга


Уникальная Y-хромосома

Y-хромосома уникальна тем, что передается строго по отцовской линии, что позволяет проследить историю мужской линии на протяжении многих поколений.

Глубокие (полногеномные) тесты позволяют получить наиболее подробную информацию о генетической линии. Если вы хотите получить максимум информации, рекомендуется сразу делать глубокий тест.

Исследование 37 и более маркеров позволяет провести сравнение с результатами тестов других участников и предсказать более глубокую линию происхождения. Эти тесты заметно дешевле, но и информацию дают намного меньше.

Важно отметить, что цель данного исследования не в определении национальности. Однако его результаты могут показать, насколько выявленные генетические линии характерны для конкретных регионов и, возможно, этносов.

В ходе анализа была определена гаплогруппа и более глубокий субклад. Эта информация помогает понять, к какой древней линии человечества принадлежит исследуемый образец.

Далее в публикации вы найдете подробную информацию о выявленной гаплогруппе, ее распространении, а также о возможных генетических связях с другими протестированными участниками проекта.

Для тех, кто хочет глубже разобраться в основах ДНК-генеалогии, на нашем сайте есть дополнительные образовательные материалы. Основные ссылки на эти материалы вы можете найти чуть ниже в этой публикации.

Также обратите внимание на ссылки на наши социальные сети. Нажав на них, вы можете подписаться и быть в курсе последних новостей проекта. Если у вас возникнут вопросы, наиболее оперативно вам ответят в нашем телеграм-чате.

  1. Рекомендуем посмотреть выступление Александра Ракитько. Примерно часовое выступление на тему Y-ДНК тестов. Ссылка на видео.
  2. Был ли у человечества один общий предок? // Дробышевский. Человек разумный
  3. ДНК-генеалогия как путешествие к истокам
  4. Термины и определения
  5. Гаплогруппа
  6. Как читать Y-древо
  7. Методика маркерного анализа
  8. Подробнее о древе Yfull
  9. Чем отличаются тесты Y хромосомы?
  10. Часто задаваемые вопросы
  11. Список протестированных фамилий
  12. Как заказать ДНК тест?

Помощь в развитии проекта

Помощь в развитии проекта


Ссылка на сбор

Гаплогруппа и субклад

Исследовано 37 маркеров в лаборатории YSEQ.

Полная линия:
Adam> A0-T > A1 > A1b > BT > CT > CF > F > GHIJK > G > P287 > Y238 > P15 > L1259 > L30 > CTS574 > CTS2488 > P303 > CTS796 > L140 > PF3346 > PF3345 > Z6779 > U1 > L1266 > Y12277 > L1264 > G-Z44222 G-FT9681 G-Z44239G-Y32924

G2a2 G-L1264


По ссылке подробная информация по G2a2 G-L1264 в целом. История, разные линии, филогенетическое древо.



L1264 >> Y32924

По ссылке информация по субкладу Y32924.


Вероятная ветка:

Y-STR маркеры и Y-STR гаплотип

Подробнее о том, что такое Y-STR маркеры и Y-STR гаплотип можно почитать нажать на ссылку.

Nevgen

Nevgen — это онлайн-сервис, который позволяет предсказать Y-хромосомную гаплогруппу и субклад на основе STR-маркеров (коротких тандемных повторов). Он особенно полезен для тех, кто еще не сделал глубокий SNP-тест Y-хромосомы (BigY или аналоги), но уже имеет результаты по STR-маркерам (например, 12, 37, 67 или 111 маркеров).

Анализ STR-маркеров в сервисе Nevgen позволяет предсказать положение конкретной линии на дереве Y-хромосомных гаплогрупп и оценить целесообразность более глубокого SNP-тестирования

Подробнее по ссылке в шапке — Методика маркерного анализа

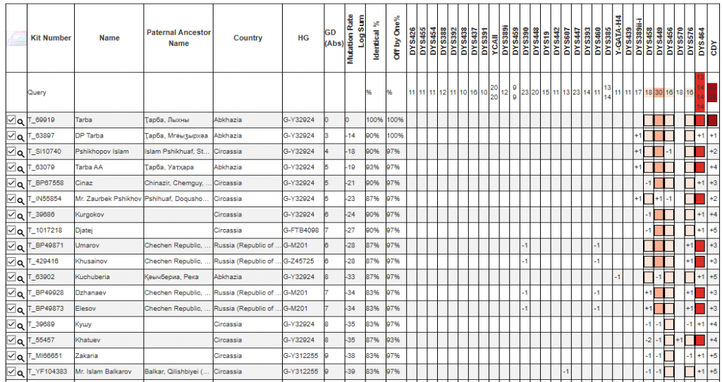
STR Match Finder

Видеоинструкция к STR Match Finder

STR Match Finder — это еще один полезный онлайн-инструмент для ДНК-генеалогии, который позволяет находить близких родственников по мужской линии на основе сравнения STR-маркеров Y-хромосомы. Он особенно актуален для тех, кто еще не сделал глубокий SNP-тест (BigY или аналоги), но хочет найти потенциальных родственников среди протестированных из той же популяции или гаплогруппы.

Поиск STR-совпадений в базе STR Match Finder помогает найти потенциальных родственников по мужской линии среди других протестированных из той же популяции. Мерой близости при этом служит генетическая дистанция, зависящая от числа мутационных различий

Без CDY&DYS464

Статистика проекта


По ссылке вы можете познакомится со статистикой. Сколько всего протестировано, информация по субэтносам, гаплогруппа итд.