Адлейба

Новый результатWGS

Субэтнос: Абхаз (Абжьыуа)
Населенный пункт: Отап (Уатаԥ)
Гаплогруппа: G2a2 >> Y87806 > Y618614

Обсуждение результатов в чате (https://t.me/cdna_chat) нашего телеграмм-канала (https://t.me/CDNA_p).

История

Шалва Инал-ипа приводит следующую легенду: «Некогда Абхазия была опустошена в результате соперничества Аԥсҳа (царя Абхазии) и князей Маршан. Осталось только два рода — Джапуа из Леса Великанов (в районе Сочи) и Ануа, проживавшие среди дремучих зарослей (на месте нынешнего с. Тамыш). К ним из-за гор пришли Ачба, Инапшба и Адлейба. Они сперва попали к Джапуа, а оттуда все вместе прибыли к Ануа. Здесь Джапуа и Ануа породнились посредством обряда побратимства» В другом варианте этой легенды вместе с Джапуа и Ануа также называется и род Бганба, живший на месте нынешнего села Атара, где в те времена, согласно легенде, мало было растительности, только во дворе рода Бганба стоял один сказочный дуб, и культ этого дерева высоко почитали в их роду.

В стародавние времена род Адлейба проживал в Ԥсҳәы (со слов старейшин) и поклонялись Ԥсҳәы-ныха (под именем Инал-Ҟәыба). По какой-то причине они решили покинуть насиженные места и переселенцев возглавлял Кәын Адлеиба, долго блуждая они осели в с. Отап (ныне место их компактного проживания носит название Адлеиаархәы «Холм рода Адлейба»), откуда, размножившись, стали переселяться в соседние села.

Саломе Бахиа в работе «Абхазская абипара — патронимия» (1986 г.) приводит немного иной вариант этой легенды: «Предок фамилии Адлейба, по преданию переселился из с. Псху в Очамчирский район. Семья росла и со временем под одной крышей собрались вместе несколько поколений племянников и двоюродных братьев. Один из братьев — Кун, отделившись от этой семьи осел в селе Отап Очамчирского района, основав одну из патронимий этой фамилии — Кун Ду абипара.» Она же приводит, что на 1973 г. в селе Отап проживал 121 двор разных фамилий: Адлейба — 57 дворов; Джопуа — 24 двора; Воуба — 16 дворов; Кутелия — 17 вдоров; Маршан — 2 двора; Першба (?) — 6 дворов; Ажиба — 2 двора; Торчуа — 1 двор; Джелия — 4 двора и обабхабхившиеся сваны Кебелиани. Первые три фамилии (Адлейба, Джопуа, Воуба) принадлежали к древнейшим обитателям села, со своими поселками: Адлеиаархәы, Џьапуаархәы, Воуаархәы.

Шалва Инал-ипа о культе Инал-Куба в роду Адлейба пишет следующее: Так, в роде Адлейба (с. Отап) совершали моление, называемое «Адлейбовским ацу» или «Ацкя» («чистое») и состоящее в следующем. Все адлейбовцы сеяли просо, а один из них, на которого в порядке очереди падала в этом году главная забота по проведению моления, сеял его больше всех. Он заготовлял побольше и вина. У старшего в роде, исполнявшего обязанности жреца, находилась специальная ручная мельница, называемая «чистый жернов». У него же стоял и «чистый котел». Накануне праздника парни и девушки парами по очереди до утра мололи просо (ручная мельница в эту ночь не должна была стоять без работы). Мололи все – не только адлейбовцы, но и гости, в том числе представители княжеского рода Ачба, которые также считали себя причастными к этому молению. По всем четырем сторонам дома, где происходило моление, клали на полу вдоль стен на всю длину каштановые бревна. На размер толщины бревен наполняли этот широкий четырехугольник свежей землей. Потом сверху насыпали много хворосту и дров и зажигали их. Этот огромный очаг сильно нагревал всю поверхность пола. Вычистив пол, клали на всю поверхность тесто (без скоромного), которое приготовлялось в упомянутом медном котле (еще до этого каждому выдавали по куску теста, хранившиеся в карманах как спасительные талисманы). Выложенное тесто покрывали каштановыми листьями, а потом сверху разжигали огонь. Испеченный таким образом огромный хлеб (ср. с сванским ласкари), разрезав на куски, выносили на двор, где под открытым небом жрец произносил следующую молитву: «Псхусская аныха Инал-куба! Молимся, чтобы ты оберегала нас на дереве, на скале, в воде и на земле. Пусть не выступит у нас ни капли крови и лишнего пота по причине твоего гнева! Всем, кто имеет здесь на твое имя свою долю хлеба, да ниспошлешь ты теплоту своего сердца и очей!» За каждого Адлейба, где бы он (она) ни находился, возносили молитву, взяв в руки его именем отдельный кусок хлеба. Все замужние женщины из рода Адлейба также приезжали в этот день воздать должное своему покровителю и приносили свою долю свечей, муки и сыра, которые приготовлялись на месте. Жрец не забывал и посторонних посетителей, которых он объединял в молитве, поставив им один хлебец. Эти родовые моления были известны, по-видимому, многим абхазским родам, хотя далеко не все они связывались с именем «ацу», напр., родовое моление Лейбовых (с. Мгудзырхва), близкое, если и не тождественное, к молению Адлейбовых, и др.

Традиционно во всех делах Адлейба выступали в союзе с родами Абухба, Амичба и Аршба.

Тамга


Уникальная Y-хромосома

Y-хромосома уникальна тем, что передается строго по отцовской линии, что позволяет проследить историю мужской линии на протяжении многих поколений.

Глубокие (полногеномные) тесты позволяют получить наиболее подробную информацию о генетической линии. Если вы хотите получить максимум информации, рекомендуется сразу делать глубокий тест.

Исследование 37 и более маркеров позволяет провести сравнение с результатами тестов других участников и предсказать более глубокую линию происхождения. Эти тесты заметно дешевле, но и информацию дают намного меньше.

Важно отметить, что цель данного исследования не в определении национальности. Однако его результаты могут показать, насколько выявленные генетические линии характерны для конкретных регионов и, возможно, этносов.

В ходе анализа была определена гаплогруппа и более глубокий субклад. Эта информация помогает понять, к какой древней линии человечества принадлежит исследуемый образец.

Далее в публикации вы найдете подробную информацию о выявленной гаплогруппе, ее распространении, а также о возможных генетических связях с другими протестированными участниками проекта.

Для тех, кто хочет глубже разобраться в основах ДНК-генеалогии, на нашем сайте есть дополнительные образовательные материалы. Основные ссылки на эти материалы вы можете найти чуть ниже в этой публикации.

Также обратите внимание на ссылки на наши социальные сети. Нажав на них, вы можете подписаться и быть в курсе последних новостей проекта. Если у вас возникнут вопросы, наиболее оперативно вам ответят в нашем телеграм-чате.

  1. Рекомендуем посмотреть выступление Александра Ракитько. Примерно часовое выступление на тему Y-ДНК тестов. Ссылка на видео.
  2. Был ли у человечества один общий предок? // Дробышевский. Человек разумный
  3. ДНК-генеалогия как путешествие к истокам
  4. Термины и определения
  5. Гаплогруппа
  6. Как читать Y-древо
  7. Методика маркерного анализа
  8. Подробнее о древе Yfull
  9. Чем отличаются тесты Y хромосомы?
  10. Часто задаваемые вопросы
  11. Список протестированных фамилий
  12. Как заказать ДНК тест?

Помощь в развитии проекта

Помощь в развитии проекта


Ссылка на сбор

Гаплогруппа и субклад

Гаплогруппа — это группа схожих гаплотипов, которые имеют общего предка по мужской (Y-хромосома) или женской (митохондриальная ДНК) линии. Субклад — это подгруппа внутри гаплогруппы, имеющая более недавнего общего предка.

Проведено самое глубокое, полногеномное исследование в лаборатории YSEQ (Берлин, Германия). Оно включает:

— углубленный тест Y-хромосомы (отцовская линия)
— анализ митохондриальной ДНК (материнская линия)
— аутосомный тест (набор неполовых хромосом, накопленный человеком от ближайших предков по всем линиям)

Выявлена гаплогруппа G2a2. Субклад G-L1264 >> Y87806 > Y618614

Полная линия:
Adam > A0-T > A1 > A1b > BT > CT > CF > F > GHIJK > G > P287 > Y238 > P15 > L1259 > L30 > CTS574 > CTS2488 > P303 > CTS796 > L140 > PF3346 > PF3345 > Z6779 > U1 > L1266 > Y12277 > L1264 > Z44222 > Y87806 > Y93425 > Y27517 > Y618614

G2a2 G-L1264


По ссылке подробная информация по G2a2 G-L1264 в целом. История, разные линии, филогенетическое древо.


L1264 >> Y87806


По ссылке подробная информация по субкладу Y87806.


Для Адлейба из села Отап был произведён полный Y тест и его результат был опубликован на мировые Y древа (Yfull, FTDNA, Theytree)

Согласно древу FTDNA Адлейба попал в базальную ветвь возраст которой составляет 2200 лет. На расстоянии 2050 лет находился абхаз Бжания из села Илор.

Древо Yfull до обновления.

В live версии древа Yfull Адлейба образовал новую ветвь с другим Адлейба. Примерный возраст жизни общего предка двух Адлейба — 300 лет. Точный возраст ветви будет известен после обновления древа Yfull.

Согласно китайскому древу theytree возраст ветви двух Адлейба составляет 200 лет.

Адлейба попал в так называемый «Медовейский» пучок, куда помимо Адлейба потенциально попадают такие фамилии как: Тания, Хагуш, Инапшба, Апшилава, Хуапшыху, Лакоба, Ампар, Кушба, Бжаниа.

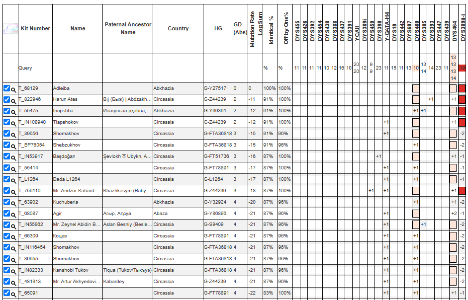
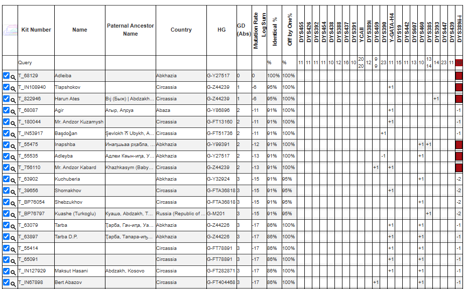
Y-STR маркеры и Y-STR гаплотип

Подробнее о том, что такое Y-STR маркеры и Y-STR гаплотип можно почитать нажать на ссылку.

STR Match Finder

Видеоинструкция к STR Match Finder

STR Match Finder — это еще один полезный онлайн-инструмент для ДНК-генеалогии, который позволяет находить близких родственников по мужской линии на основе сравнения STR-маркеров Y-хромосомы. Он особенно актуален для тех, кто еще не сделал глубокий SNP-тест (BigY или аналоги), но хочет найти потенциальных родственников среди протестированных из той же популяции или гаплогруппы.

Поиск STR-совпадений в базе STR Match Finder помогает найти потенциальных родственников по мужской линии среди других протестированных из той же популяции. Мерой близости при этом служит генетическая дистанция, зависящая от числа мутационных различий

Без DYS464

Митохондриальная (материнская) линия

Митохондриальная ДНК (Мито) передается только женщинами своим детям. Это дает возможность проследить прямую женскую линию. Минус Мито в том, что она намного меньше по размеру, чем Y-хромосома, более чем в тысячу раз. Плюс в том, что в клетке много митохондрий и это повышает шанс на вероятность считывания данных. Это особенно важно для древних захоронений. К настоящему времени изучено значительно больше Мито линий древних людей, чем Y-хромосомы.

Выявлена митохондриальная гаплогруппа U5a1b1. Данная ветвь является преимущественно европейской.

Согласно древу Yfull общий предок Адлейба, Поляков, Американца и Кыргыза по материнской линии жил 3200 лет тому назад.

На китайской версии древа опубликовано большое количество древних захоронений. Примечательно что в этой ветви есть аварские образцы MGS в захоронении которых была найдена гаплогруппа G-L1264. Можно предположить попадание данной мито гаплогруппы в Абхазию с Австрии путём миграции Аваров.

Аутосомы

Аутосомы это набор неполовых хромосом. Передаются от ближайших предков по всем линиям. У каждого следующего поколения остается только половина информации от своих родителей. Близкие совпадения определяются длиной совпадающих участков ДНК. Обозначаются эти участки как сентиморганы или сМ. С очень близкими родственники длина совпадающих участков составляет сотни и даже тысячи cM. Цифры меньше 30-40 почти невозможно определить, по какой линии родство.

Существуют несколько компаний (сайтов) которые ведут базу данных аутосомных совпадений. Самые популярные из них FTDNA, Генотек и Gedmatch.

Некоторые сайты показывают вероятную национальную принадлежность. Эта информация сильно отличается от сайта к сайту.
Подробнее по ссылке

FTDNA

Выявлен ряд родственников по аутосомам:
— Т. Хаджимба 79 cM (родство в 3-5 поколениях)
— Д. Хаджимба 46 cM (родство в 3-5 поколениях)
— C. Гечба (Турция) 34 cM (родство в 3-5 поколениях)
— С. Кур-ипа 28 cM (родство в 3-5 поколениях)

Familio

G25

Дистанция по G25 к современным популяциям.

Дистанция по G25 к древним популяциям.

Дистанция к древним образцам по G25

Статистика проекта


По ссылке вы можете познакомится со статистикой. Сколько всего протестировано, информация по субэтносам, гаплогруппа итд.